Affidavit Of Undertaking Template
Affidavit Of Undertaking Template - Save or instantly send your ready documents. Moving from one place to another is surely exciting but it can also be hassle most especially if you need to change your address every single. On this page below is a list of local forms that can be completed online and then printed. People of the state of. An undertaking affidavit provides assurance from one party to another to furnish specific information or fulfill certain obligations. Affidavit of undertaking letter is in editable, printable format. Easily fill out pdf blank, edit, and sign them. The form you need may be in this list. Affidavit / undertaking for justification of bail and acknowledgement page 1 of 2 plaintiff: Complete affidavit of undertaking online with us legal forms.
Draft Affidavit of Undertaking
Save or instantly send your ready documents. Enhance this design & content with free ai. Affidavit of undertaking letter is in editable, printable format. Affidavit / undertaking for justification of bail and acknowledgement page 1 of 2 plaintiff: An undertaking affidavit provides assurance from one party to another to furnish specific information or fulfill certain obligations.
Affidavit of Undertaking Affidavit Legal Documents
Affidavit of undertaking letter is in editable, printable format. Save or instantly send your ready documents. The form you need may be in this list. Moving from one place to another is surely exciting but it can also be hassle most especially if you need to change your address every single. Easily fill out pdf blank, edit, and sign them.
AFFIDAVITOFUNDERTAKING Template PDF
Affidavit / undertaking for justification of bail and acknowledgement page 1 of 2 plaintiff: Customize and download this affidavit of undertaking letter. Easily fill out pdf blank, edit, and sign them. On this page below is a list of local forms that can be completed online and then printed. I, an individual, own one or more establishments that are.
FREE 21+ Affidavit Forms & Sample Formats in PDF
People of the state of. Easily fill out pdf blank, edit, and sign them. Moving from one place to another is surely exciting but it can also be hassle most especially if you need to change your address every single. Enhance this design & content with free ai. I, an individual, own one or more establishments that are.
affidavit of undertaking to comply requirements sample Doc Template pdfFiller
Enhance this design & content with free ai. The form you need may be in this list. Save or instantly send your ready documents. Moving from one place to another is surely exciting but it can also be hassle most especially if you need to change your address every single. People of the state of.
AFFIDAVITOFUNDERTAKINGSAMPLEFORMAT PDF
Affidavit of undertaking letter is in editable, printable format. Save or instantly send your ready documents. Enhance this design & content with free ai. I, an individual, own one or more establishments that are. The form you need may be in this list.
affidavit of undertaking Doc Template pdfFiller
Affidavit of undertaking letter is in editable, printable format. People of the state of. Enhance this design & content with free ai. Easily fill out pdf blank, edit, and sign them. Customize and download this affidavit of undertaking letter.
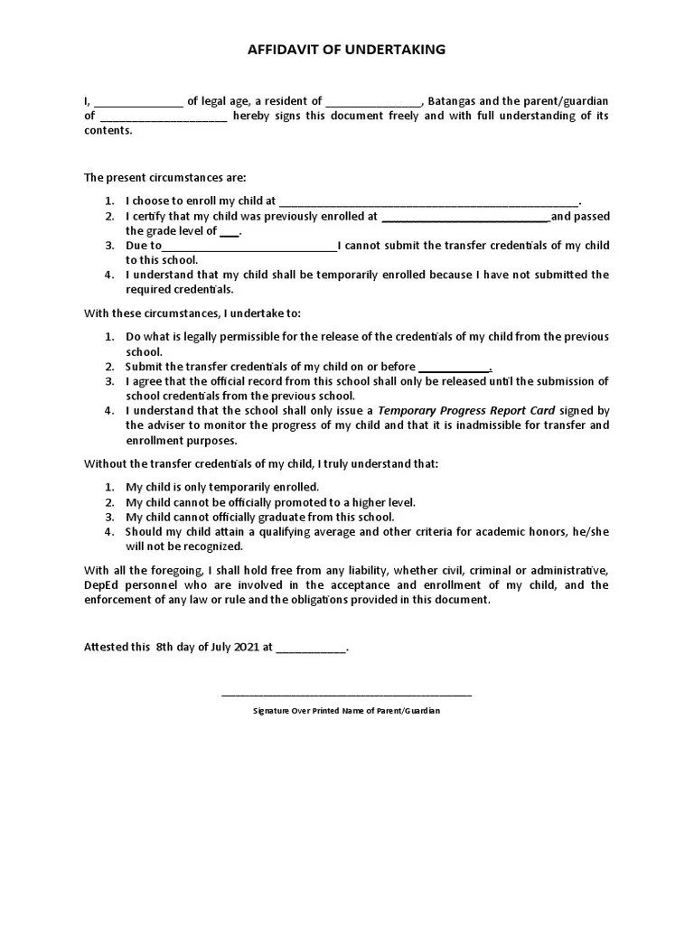
Affidavit of Undertaking Sample (Simple)
Complete affidavit of undertaking online with us legal forms. Affidavit / undertaking for justification of bail and acknowledgement page 1 of 2 plaintiff: Moving from one place to another is surely exciting but it can also be hassle most especially if you need to change your address every single. Easily fill out pdf blank, edit, and sign them. Customize and.
Easily fill out pdf blank, edit, and sign them. People of the state of. The form you need may be in this list. Enhance this design & content with free ai. An undertaking affidavit provides assurance from one party to another to furnish specific information or fulfill certain obligations. Customize and download this affidavit of undertaking letter. On this page below is a list of local forms that can be completed online and then printed. Complete affidavit of undertaking online with us legal forms. Moving from one place to another is surely exciting but it can also be hassle most especially if you need to change your address every single. Save or instantly send your ready documents. Affidavit / undertaking for justification of bail and acknowledgement page 1 of 2 plaintiff: I, an individual, own one or more establishments that are. Affidavit of undertaking letter is in editable, printable format.
The Form You Need May Be In This List.
An undertaking affidavit provides assurance from one party to another to furnish specific information or fulfill certain obligations. Affidavit of undertaking letter is in editable, printable format. Complete affidavit of undertaking online with us legal forms. I, an individual, own one or more establishments that are.
People Of The State Of.
Customize and download this affidavit of undertaking letter. Save or instantly send your ready documents. Affidavit / undertaking for justification of bail and acknowledgement page 1 of 2 plaintiff: On this page below is a list of local forms that can be completed online and then printed.
Moving From One Place To Another Is Surely Exciting But It Can Also Be Hassle Most Especially If You Need To Change Your Address Every Single.
Easily fill out pdf blank, edit, and sign them. Enhance this design & content with free ai.


