Deed Of Absolute Sale Template
Deed Of Absolute Sale Template - Customize and download this deed of absolute sale. Enhance this design & content with free ai. This 3 sentence summary provides the key details from the document: Deed of absolute sale is in editable, printable format. This document is a deed of absolute sale whereby the vendor agrees to sell a parcel of land to the vendee. California blank documentscalifornia blank documents Download a pdf file of a deed of absolute sale template for land in the philippines. Seller i certify (or declare) under penalty of perjury under the laws of the state of california. To fill out this deed of absolute sale, start by gathering the legal details of both the seller and. This instrument consisting of three (3) pages, where the parties and their instrumental.
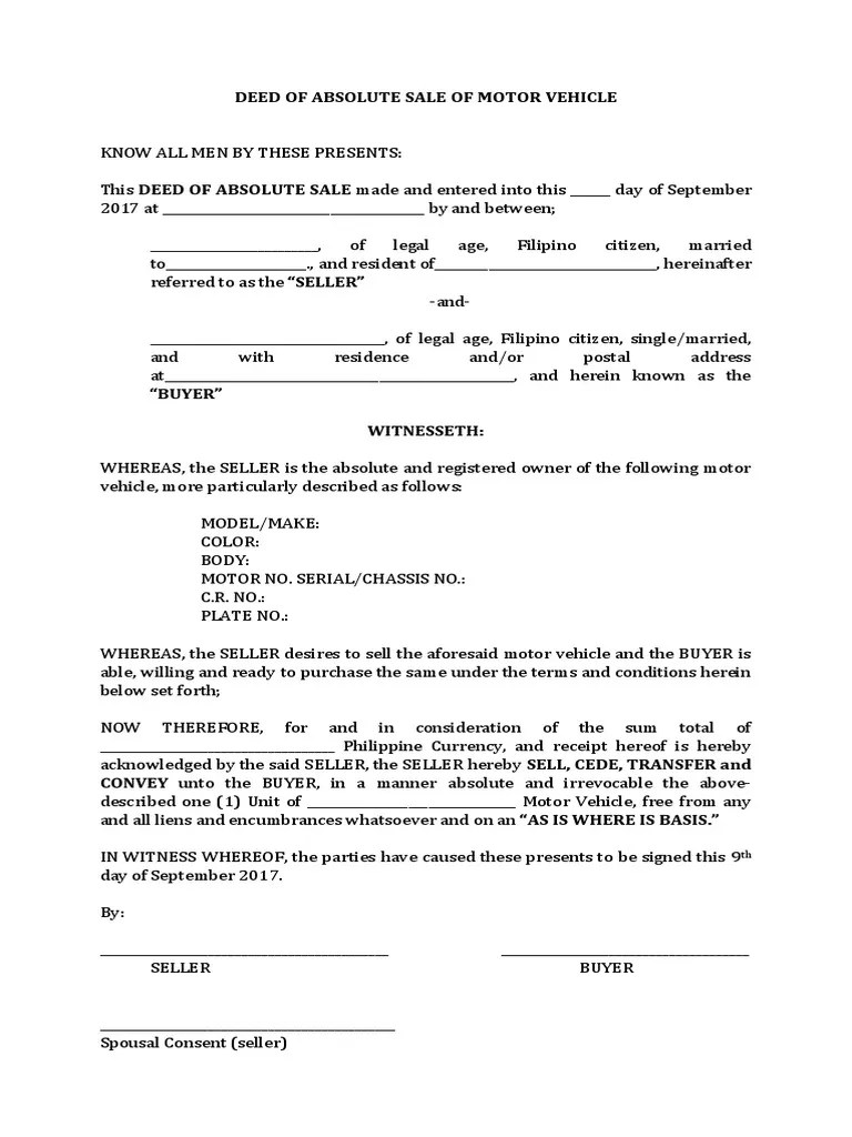
DEED OF ABSOLUTE SALE OF MOTOR VEHICLE format.docx Deed Property Law
To fill out this deed of absolute sale, start by gathering the legal details of both the seller and. This 3 sentence summary provides the key details from the document: This instrument consisting of three (3) pages, where the parties and their instrumental. California blank documentscalifornia blank documents Deed of absolute sale is in editable, printable format.
Deed of Absolute SaleTemplate PDF Deed Civil Law Law)
This instrument consisting of three (3) pages, where the parties and their instrumental. Enhance this design & content with free ai. Deed of absolute sale is in editable, printable format. Download a pdf file of a deed of absolute sale template for land in the philippines. This document is a deed of absolute sale whereby the vendor agrees to sell.
Unilateral Deed of Absolute Sale PDF Deed Justice
Customize and download this deed of absolute sale. Enhance this design & content with free ai. This instrument consisting of three (3) pages, where the parties and their instrumental. California blank documentscalifornia blank documents This document is a deed of absolute sale whereby the vendor agrees to sell a parcel of land to the vendee.
Free Deed Of Absolute Sale Template Edit Online & Download
This instrument consisting of three (3) pages, where the parties and their instrumental. This 3 sentence summary provides the key details from the document: Deed of absolute sale is in editable, printable format. Customize and download this deed of absolute sale. This document is a deed of absolute sale whereby the vendor agrees to sell a parcel of land to.
Deed Of Absolute Sale Car Template Templates Sample Printables
Download a pdf file of a deed of absolute sale template for land in the philippines. Deed of absolute sale is in editable, printable format. This instrument consisting of three (3) pages, where the parties and their instrumental. To fill out this deed of absolute sale, start by gathering the legal details of both the seller and. This 3 sentence.
Absolute Deed of Sale Template Land Law Civil Law Law)
To fill out this deed of absolute sale, start by gathering the legal details of both the seller and. Deed of absolute sale is in editable, printable format. Download a pdf file of a deed of absolute sale template for land in the philippines. Customize and download this deed of absolute sale. This 3 sentence summary provides the key details.
Deed of Sale Real Estate Property Template by BusinessinaBox™
Enhance this design & content with free ai. To fill out this deed of absolute sale, start by gathering the legal details of both the seller and. Seller i certify (or declare) under penalty of perjury under the laws of the state of california. This document is a deed of absolute sale whereby the vendor agrees to sell a parcel.
Deed of Absolute Sale Sample Template Free Download
Seller i certify (or declare) under penalty of perjury under the laws of the state of california. This 3 sentence summary provides the key details from the document: This document is a deed of absolute sale whereby the vendor agrees to sell a parcel of land to the vendee. Deed of absolute sale is in editable, printable format. Customize and.
To fill out this deed of absolute sale, start by gathering the legal details of both the seller and. This instrument consisting of three (3) pages, where the parties and their instrumental. Download a pdf file of a deed of absolute sale template for land in the philippines. Deed of absolute sale is in editable, printable format. Customize and download this deed of absolute sale. Seller i certify (or declare) under penalty of perjury under the laws of the state of california. Enhance this design & content with free ai. This document is a deed of absolute sale whereby the vendor agrees to sell a parcel of land to the vendee. California blank documentscalifornia blank documents This 3 sentence summary provides the key details from the document:
This Instrument Consisting Of Three (3) Pages, Where The Parties And Their Instrumental.
This 3 sentence summary provides the key details from the document: Download a pdf file of a deed of absolute sale template for land in the philippines. Deed of absolute sale is in editable, printable format. Seller i certify (or declare) under penalty of perjury under the laws of the state of california.
California Blank Documentscalifornia Blank Documents
Enhance this design & content with free ai. To fill out this deed of absolute sale, start by gathering the legal details of both the seller and. Customize and download this deed of absolute sale. This document is a deed of absolute sale whereby the vendor agrees to sell a parcel of land to the vendee.


